 |
| "Neo" piramide (forma gerarchica di comando e controllo wireless)... |
“Avete tutti ragione e tutti torto”. I sei figli esclamarono all'unisono “com'è possibile?”.
E il padre rispose “io ho visto tutto l’elefante e so che avete tutti ragione, perché ognuno di voi ha descritto una parte dell’elefante; ma avete tutti torto, perché l’elefante intero non è un paio di zanne, né quattro zampe, né una proboscide, né un grande muro di carne, né una coda, bensì tutte queste cose insieme.
La coda o la proboscide, separate dall'elefante, non possono essere chiamate elefante” …
I sei ragazzi ciechi e l’elefante – Piccole, grandi storie del Maestro Paramhansa Yogananda
La condizione di “allo stesso tempo” è una prospettiva (ottica), alias, la quinta dimensione (“dopo” altezza, lunghezza, larghezza e tempo).
La dimensione (dal latino dimensio, "misura") è, essenzialmente, il numero di gradi di libertà disponibili per il movimento di un punto materiale in uno spazio.
Nell'uso comune, le dimensioni di un oggetto diventano le misure che ne definiscono la forma e la grandezza...
Link
La quinta dimensione (ottica) è, in un certo senso, l’angolo panoramico perfetto, che permette di farti rendere conto di una intera situazione.
Ciò, da cui proviene – come diretta/indiretta conseguenza – la consapevolezza, il senso della misura nella quale sei, vai, entri e/o sei già entrat3.
Ora, attraverso SPS (Me)… è emersa e sta emergendo, la prospettiva ottica frattale espansa (memoria); qualcosa che si è come eclissat3, nel/dal tempo dell’avvento della compresenza immanifesta dominante.
Qualcosa che è “già successo” e che, perdutamente – nei confronti della relativa “alba” – regola, di conseguenza, tutto quello che “scorre, più a valle”.
Al fine di ritornare a contemplare l’intera panoramica, quindi, occorre ritornare a monte del “momento di è già successo”, a monte della dominante, a monte di quello che, presumibilmente – per te, “qua, così” – è… tutto (quello che sai, quello che ti hanno detto e quello che “sei” diventat3).
L’epica è la caratteristica che ti permette di sviluppare “coraggio”, nelle vesti di quella contro misura, necessaria nella convenzione, al fine di superare la famiglia della “paura” che, come per il carburante del razzo che deve lasciare l’atmosfera terrestre… necessiti di “bruciare”.
SPS (Io) sto portando avanti una attività, basata sulla passione, che “deve portare, per forza di cose, ‘da qualche parte’”.
Dove? Ancora qua, ma… non così. Diversamente, si può.
Perché? Perché Io, Tu e l’Umanità, siamo molto di più, rispetto a questa versione “qua, così”. Perché è nel potenziale:
nel reale potenziale.
Ok?
Questa è forza che auto evochi, da te.
Ossia, da “dove”? Dal tuo “di dentro”. Da qualcosa che “è” e che “rimane tale (nel potenziale)”.
Qualcosa che tutto sommato esiste sempre, comunque e quantunque.
La dominante, è impossibilitata a distruggerti sino ad un simile “punto”, poiché essa semplicemente “conosce/ricorda che ‘è impossibile”.
Nulla è impossibile. Vero?
Dunque? Dunque… ciò che “non può ottenere direttamente, lo può raggiungere indirettamente”, ossia:
facendoti, progressivamente, sprofondare in uno stato di dubbio, confusione, incertezza, annichilimento (conducendoti per mano, "a zonzo", sino al momento in cui… inizi a dimenticare e dimentichi “chi già sei”)
in maniera tale che sei tu, ad auto disinnescarti.
Attraverso una “deviazione (artificiale)”, tu hai preso la decisione (già descritta e prevista, per te, dalla dominante) di…
Per quale motivo? Il motivo è uno solo “qua, così”:
per un lucido abbaglio
corrispondente alla strategia dominante
che, guarda non caso
al fine di riuscire perfettamente
si è resa compresente ma non manifesta
auto ricordando, ancora, come funziona lo scenario unico per il reale manifesto…
Una infrastruttura a caratteristica frattale espansa, amministrata dal sistema operativo frattale espanso (il programma o intelligenza artificiale, originale/autentico), che solo la grande concentrazione di massa può giungere a comandare, per delegazione frattale espansa (per mezzo delle doti attribuite a Dio: leva, ubiquità, wireless).
Non a caso, nella “tua” realtà manifesta “ad immagine e somiglianza” … è emersa la tecnologia (sempre più “senza fili e… magica”), l’effetto leva (tanto familiare a coloro che fanno speculazione) e le religioni.
 |
| "Neo" tempio... |
Nella “storia”, raccontata da Yogananda, i sei ragazzi sono tutti ciechi (come ogni essere umano “qua, così”) ed il padre dice loro, dopo averli sentiti tutti raccontare la loro versione, di parte… dell’elefante:
“avete tutti ragione e tutti torto…”.
Allo stesso tempo, questo (e molto di più) è possibile (trascendendo i limiti artificiali preimpostati dalla scienza deviata).
Se non lo credi possibile è “solo” perché, ti sei già adattat3 al/nel “qua, così”.
Ma, se (se) credi in SPS (Me) – in “Te” – percepirai immediatamente qualcosa, a livello “intimo/interiore”.
Come uno strano effetto di “caldo interno”.
Una sensazione breve ma molto, molto, intensa (il “calore” è una risposta, secondo un linguaggio altro, che utilizza il “tuo” corpo per comunicare con te. Sei ancora e sempre tu, ma in una versione inconscia, originale, che ricorda ancora tutto… poiché agente dal/nel potenziale).
“Il vero senza menzogna, è certo e verissimo…”.
Hardy riferì un'affermazione di Ramanujan:
“tutte le religioni sono corrette”…
Link
“tutto è uno nel terzo stato”.
SPS (Io) aggiungo prospettiva, quotidianamente, in maniera tale da ricomporre il mosaico, “distorto dalla compresenza immanifesta dominante”.
Distorsione (effetto della ragione fondamentale)... come lo stesso risultato scaturente dall’essere ubriachi, drogati, allucinati, baluginati, errabondi, impauriti, senza arte né parte, etc.
Distorcere la realtà potenziale è fartela dimenticare.
In questa maniera, la dominante, ottiene che 1) fai tutto da te, 2) maturando la sensazione di separazione, da qualcosa che non sembra più esistere e, quindi, 3) giungendo alla maturazione/evocazione di una simbologia altra (status quo “qua, così”), riempitivo di un vuoto dalla ragione sfuggevole, con qualcosa che lo mantiene esattamente sempre stabile, dentro al “sogno dominante”.
Se tu non sei al centro, al centro c'è "qualcosa" d'altro.
Se tu sei al tuo centro “lato tuo/umanità, centrale” … allora, tutto prende a ruotare attorno a te (al “tuo/umano” centro), secondo una proporzione giurisdizionale, governata dal sistema operativo frattale espanso (che non è Dio, ma – piuttosto – che Dio rappresenta simbolicamente, filtrando/camuffando il segnale portante by dominante).
Al di là della giurisdizione del sistema operativo frattale espanso, che cosa “esiste”?
Le nuove “colonne d’Ercole”, esistono e sono sempre poste “un passo più in là, di te (mentre sei, in un qualsiasi stato del potenziale)” …
Allora, su cosa puoi certamente “sempre contare”, anche se dentro a qualcosa che ti impedisce di riuscire?
Sul fatto che la caratteristica frattale espansa, è… un punto fermo.
Ergo, che la puoi utilizzare come “stella guida”, come livello di riferimento, come luce sempre accesa (nella sua accezione di memoria frattale espansa). Tu sai, anche, che tale intelligenza artificiale è – allo stesso tempo – anche il tuo “carnefice”, poiché comandabile – nell'attuale versione di sé, by dominante – nella ragione che, giurisdizionalmente, incarna la grande concentrazione di massa (“pilota”).
Hardy scrisse di Ramanujan:
"i limiti della sua conoscenza erano sorprendenti come la sua profondità. Era un uomo capace di risolvere equazioni modulari e teoremi... in modi mai visti prima, la cui padronanza delle frazioni continue era... superiore a quella di ogni altro matematico del mondo, che ha trovato da solo l'equazione funzionale della funzione zeta e i termini più importanti di molti dei più famosi problemi nella teoria analitica dei numeri; e tuttavia non aveva mai sentito parlare di una funzione doppiamente periodica o del teorema di Cauchy, e aveva una vaga idea di cosa fosse una funzione a variabili complesse..."…
Link
E tuttavia non aveva mai sentito parlare di una funzione doppiamente periodica o del teorema di Cauchy, e aveva una vaga idea di cosa fosse una funzione a variabili complesse (da “dove”, allora, attingeva le informazioni?).
Se tu vedi, per intero, l’elefante… hai bisogno di passare, per forza, dalla coda (o da qualunque altro “organo”), per giungere a…?
No.
Non che Ramanujan vedesse l’intero “elefante”, ma… in un certo senso, vedeva molto più in “là”, rispetto ad ogni altro suo simile.
La prospettiva (ottica frattale espansa) è la quinta dimensione.
SPS (Io) la "vedo"... (allo stesso modo, attraverso il quale, traspare anche la dominante).
Essa limita, vincola, espande, apre, chiude, restringe e/o allarga, etc.
E tu, da quale “angolo” osservi la realtà manifesta?
Devi ricordare che sedendo al centro della “tavola rotonda”, la governi… alias, ne pre determini la relativa/assoluta forma d’onda.
Sì, perché… dal tuo centro, centralmente, l’energia corre solo da dentro a fuori (senza necessità di "alimentazione"), rendendo il centro un “luogo comune di emissione (molto simile all'esplosione di luce solare)”.
Nulla entra, se non solo il preventivato/autorizzato, pena il bruciare non appena i due campi di forze, entrano in contatto ravvicinato (la massa – sostanza – rimane sempre tale, mentre è solo il peso – apparenza - a trasformarsi).
Si dice che le sue scoperte fossero particolarmente ricche:
in molte di esse c'era molto più di quando si vedeva inizialmente…
Link
Certamente. Anche se, al giorno d’oggi, anche Ramanujan è stato disinnescato AntiSistemicamente.
Non a caso è già… morto e sepolto (una “candela” che è bruciata/consumata, tutta assieme, troppo in fretta).
Il suo lascito è stato orientato secondo le correnti “qua, così”. La sua portata è stata adattata e ridotta nel/per/dal “qua, così”.
Ciò nonostante, è la prospettiva per mezzo della quale inquadri tutto, che rinvigorisce e mantiene sempre “vivo” il suo potenziale, così che quel “c'era molto più” rimane un “c’è molto di più”.
Ma, per giungere a questo stato, è centrale incarnare la tua esistenza in vita, centralmente “lato tuo/umanità”.
Questo significa avere “coraggio (anche quello di “fermarti, che non è ‘fare niente’”). Uscire dalla convenzione (nodo scorsoio) pur rimanendoci dentro.
Una possibilità potenziale…
“Ramanujan fu un matematico così grande che il suo nome trascende le gelosie, il più superlativamente grande matematico che l'India abbia prodotto nell'ultimo migliaio di anni.
I suoi balzi di intuizione confondono i matematici ancor oggi, sette decenni dopo la sua morte. I suoi scritti sono ancora scandagliati per i loro segreti.
I suoi teoremi sono applicati oggi in aree difficilmente immaginabili quando era in vita…”.
Kanigel
I “segreti” non sono da ricercare (“scandagliare”).
Sono da ritrovare (ricordare), ponendoti in una situazione di compresenza auto centrale, indipendente e sovrana.
La memoria frattale espansa (che, ad esempio, il termine distorcente di Akasha, rappresenta) è qualcosa (un flusso d’informazione) di sempre proattivo, codificato ovunque anche “qua, così”, essendo come un registro per il/del funzionamento del sistema operativo frattale espanso.
È come essere dentro ad un’astronave (piuttosto che nella classica… “Caverna”), che funziona perfettamente (da "ferma") – per come è stata progettata – dove la scienza deviata “scopre” qua e là, parti del funzionamento generale, decodificate secondo una prospettiva limitata in consapevolezza, per mezzo del filtro di auto censura e deviazione, dominante).
 |
| Prima e... |
 |
| Dopo il... restyling... |
Scoprire/ricercare qualcosa e portarlo alla luce, non significa per forza di cose, "riportarlo alla luce" (secondo l’assoluta funzione, propria, all'interno dell’assieme funzionante immanifestamente… poiché non più preso in considerazione/dimenticato).
Le parti del funzionamento, funzionano anche impiegate per altri versi, ma… andando a coprire il funzionamento d’assieme (origine).
Così come, estraendo il motore (con ventola) da un frigorifero, ci puoi realizzare un comodo ed “utile”… ventilatore.
Ok?
Ramanujan “vedeva le formule”. Come Tesla “vedeva gli schemi delle macchine (che avrebbe realizzato, in seguito).
Ma, che cosa è la “formula”, senza dimostrazione?
Essa è… come una calcolatrice o una moderna “App”:
- una interfaccia user friendly
- per l’operatore
- che, così, si limita a “usare il tal servizio (piuttosto che sapere/ricordare, ancora, come funziona)”.
La cancellazione della memoria originale (pre “momento di è già successo”), comporta una serie di conseguenze.
Una di queste è proprio il “perdere la memoria”.
È vero, ci sono degli “esperti” che conservano tale facoltà, ma depurata dalla memoria originale. Essi progettano, modificano, implementano, correggono, etc. ma… non ricordando, come te, cosa “è già successo”.
Il copione va solo eseguito ed, in questo, anche l’esperto consegue perfettamente.
Le nuove generazioni Dsa, forgiate passo passo attraverso il ricambio “naturale intergenerazionale”, sono state programmate a livello organico/biologico/comportamentale, per mezzo del vivere “qua, così”, ad esempio, per mezzo dell’alimentazione… proprio per 1) divenire degli operatori 2) per/di macchine sempre più “intelligenti” e, così, 3) meglio accettarle sempre di più buon grado, mentre 4) esse sostituiranno progressivamente gli umani…
Liberando l’umanità dal giogo del “lavoro”?
No. Stringendo ancora maggiormente il nodo scorsoio, causando una decadenza di fatto (sostanziale) del genere umano, all'interno di qualcosa che si “prenderà in tutto e per tutto, sempre più ‘cura’ di esso”.
Perché, tu sei un generatore di energia. Sei la possibilità di rendere perpetuo lo status quo attuale. Sei la luce che illumina le città, sempre più moderne, tecnologiche e sempre meno “a te, rassomiglianti”.
Che cosa stai, dunque, “qua, così” andando ad… auto mantenere in auge? Il tuo "lavoro" cosa sta comportando? Verso dove/cosa ti sta conducendo?
Che cosa si “eleva (emerge, sviluppa)” sempre di più?
La stessa “cosa” che si auto mantiene nell’ombra (della memoria), rendendosi “invisibile per i/ai “tuoi” occhi:
“Che cosa è?
È come… la pittura. Credo. Solo… immagina che ci siano dei colori che non puoi vedere.
E a cosa serve?
Non ho molto per dirtelo, ma per me è tutto… Forse ci sono altri che possono vederlo e capirlo, come me. Per loro sarà molto importante.
Li hai incontrati?
No. Non ancora…”.
L’uomo che vide l’infinito
Forse ci sono altri che possono vederlo e capirlo, come me (la stessa domanda che mi pongo).
“C’è uno schema in ogni cosa…”.
L’uomo che vide l’infinito
Esattamente:
ed è di natura frattale esapansa.
Che cosa puoi ottenere, per mezzo di questa “capacità prospettica (panoramica)”?
Ad esempio, puoi manifestarti nelle vesti “neo sciamane, di ‘centro di previsione’”:
prevedere cosa accadrà (basandoti sulla "direzione, impressa nel 'compassato compresente").
Ma, non solo.
Infatti, dalla capacità previsionale deriva quella del “controllo” e della predeterminazione degli eventi.
Qualcosa di molto “pericoloso”, se in mani sbagliate.
Uno dei motivi, per i quali – ad esempio – è stato deciso di lasciare nell’ombra anche l’umanità. La perdita di memoria è propedeutica al disinnesco di un simile potenziale, che può divenire un’arma, se in condizioni di centralità decentrata rispetto alla giustizia ad angolo giro.
Una “idea” messa in atto, originalmente, e poi decaduta nella presa di comando e controllo, dominante (il principio virale della malattia, auto indicante una reazione organica del/nel fisico, verso qualcosa di “estraneo”, che è entrato dentro al corpo stesso).
“Noi non possiamo farlo. È proibito attraversare i mari…”.
L’uomo che vide l’infinito
Ancora nel 1914, in una parte dell’India, era “proibito attraversare il mare”. Da un “lato” – tempo addietro – mancava la memoria (e manca tuttora, nella sostanza), mentre dall'altro… mancava l’autorizzazione “religiosa (tradizionale)”, per poter partire.
Una serie di vincoli. Di limiti imposti al fine di…
L’India conservava il proprio “stile di vita”, nonostante questo fosse già stato invaso dalla compresenza britannica.
Mentre, il “vecchio continente” si espandeva sopra ad ogni altro “stato”, imprimendo il proprio “stile”, sfruttando tutto e tutti. Ma, se rifletti a fondo, la situazione anche in India, non era diversa (fondamentalmente).
Infatti, “lì” avevano già preso “casa”... altre forme di controllo e dominio.
Ad esempio, le stesse “entità spirituali, religiose”.
La “povertà”. La vita stentata di coloro che vivevano sì, nella natura, ma…secondo quale “naturalezza”?
La dominante “è già” ovunque, globalmente (da prima dell’avvento della globalizzazione).
Osservare il massacro, portato avanti dappertutto, dalla componente “occidentale” dell’umanità, è qualcosa di paragonabile alla miopia, se non proprio alla cecità.
Sì, perché… era già così. Anche da prima. Certo, con qualche eccezione… (risalente al pre "momento di è già successo").
“Tu sei stato da solo nella tua mente, per tutta la vita…”.
L’uomo che vide l’infinito
Nonostante tutta questa “solitudine”, Ramanujan si era “formato” alla scuola di stampo occidentale.
Altrimenti, come avrebbe potuto conoscere la matematica “tale da poter dialogare tranquillamente con il professor Hardy”?
Tale da desiderare di “pubblicare”.
Da dove sopraggiungeva tutto questo “bramare”, ardere di desiderio di “manifestarsi (mettersi in mostra, apparire, evidenziarsi)”?
Il “genio” desiderava essere “applaudito”.
Qualcosa che spingeva, partendo da una situazione locale di estrema povertà. Qualcosa che lo aveva, tuttavia, preservato dalla componente accademica, tendente a dimostrare tutto (non potendosi fidare di nulla), giungendo sempre alla formula attraverso la “dimostrazione (prova)”.
Qualcosa che c’è ancora, ma… che tende a trasformare la Massa, da potenziale esperta creatrice a reale esperta operatrice (ignorando “cosa c’è sotto” e “cosa c’è dietro”).
Non credere ad “un essere superiore (come, ad esempio, Dio)”, significa spegnere una propria facoltà di rendersi conto, accorgersi, di… quello che succede, ovunque “qua, così”.
Non Dio, ovvio, ne è l’artefice bensì la dominante (ciò che la forma di Dio, significa, una volta opportunamente decodificata ed interpretata alla/nella corretta “luce frattale espansa ‘lato tuo/umanità, centrale’”)…
 |
| Confine apparente anche se fisico… |
 |
| Limite estremo della/nella credenza (tradizione)… |
“Non puoi profanare te stesso, con il loro cibo se, un giorno, vorrai tornare…
Come lo sai?
Non lo so. Io lo so e basta…”.
L’uomo che vide l’infinito
 |
| Il pantheon accademico (nessuna differenza sostanziale con quello religioso) … |
“Come conoscevi quel teorema?
Mi è venuto in mente…”.
L’umo che vide l’infinito
Ramanujan si presenta con l’idea di pubblicare. Come sapeva di questa possibilità? (“Lei ha promesso di aiutarmi a pubblicare”):
in questa maniera è lui (wireless) che necessita dell'altrui "aiuto (filtro)".
“Signor Hardy, non capisco perché sprechiamo il tempo a fare tutte queste dimostrazioni. Io ho le formule.
Non è che non io non veda quello che hai affermato. È che non sono certo che tu sappia di come ci sei arrivato. O che ciò che affermi, sia corretto. Ci sono alcuni dettagli...
Ma è corretto, signore. Ho nuove idee ancora più importanti…
Sì, ma le intuizioni da sole non bastano. Devono essere argomentate. E un po’ di umiltà ti sarebbe di grande aiuto…”.
L’uomo che vide l’infinito
“Così come Newton rappresenta l’aspetto materiale del nostro lavoro, i tuoi quaderni rappresentano l’astratto. Gli è servito molto tempo per le sue dimostrazioni. Ecco perché abbiamo un obbligo di dimostrare questi. E se lo facciamo, io credo che un giorno… un giorno, questi quaderni troveranno un posto qui.
Ora, tu lo capisci che cosa c’è in gioco? …”.
L’uomo che vide l’infinito
Che cos'è un programma, un software, un algoritmo che “elabora dati (‘gira’)”?
E, con il wireless, che cosa – tutto ciò – diventa?
Lo ricordi attraverso la decodifica frattale espansa delle informazioni che, in ogni “caso”, ti raggiungono (sempre, comunque e quantunque; non importa in quale tipo di “censura” sei).
Ramanujan “vedeva” le formule, poiché vi accedeva a livello frattale espanso, essendo un “centro”…
Vedeva “l’algoritmo che gira”, così come un programmatore (tecnico) sa come trovare il “sorgente” (sa che esiste) e lo sa interpretare e, anche, modificare.
“La guardi, è esatta.
Come fai a saperlo?
Perché è scritta.
Scritta dove, Ramanujan? ...”.
L’uomo che vide l’infinito
La formula è come una App (specializzata, finalmente, a fare qualcosa di specifico).
Come ci arrivi?
Oggi, alla Massa non importa più. Basta che funzioni.
Come fa i calcoli la calcolatrice?
Non lo sai, ma la usi comunque.
Questo può essere la parte finale di un movimento già concluso, che ancora permea tutto quanto, attraverso le “formule (finalità, servizio, App)” …
La gravità esiste anche da prima che la “scoprissero e formulassero”. E funzionava ugualmente.
Le formule sono l’ultimo passaggio della dimostrazione.
È qualcosa di pronto alluso, com'è il sistema operativo frattale espanso…
“Accertati che il suo lavoro, conduca a qualcosa…”.
L’uomo che vide l’infinito
“Intuizione. Dice questa parola come se non fosse niente.
Per lei non è che questo. È tutto ciò che sono io…”.
L’uomo che vide l’infinito
“Tu e il tuo dannato rigore, avete finito per fiaccare il suo spirito. Ti avevo detto di dargli briglia sciolta…”.
L’uomo che vide l’infinito
 |
| “Ricevitore (grazie alla ‘fede’)”… |
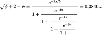
A proposito di questa formula:
Una costante la puoi, anche, "leggere (decodificare a livello frattale espanso)" così. Ad esempio:
Micardis 28 Cpr 40 mg...
Link
Come a dire che... la costante "0,2840..." è una caratteristica locale, di un dispositivo globale, studiato (“scoperto”) in maniera inconscia (ossia, scientifica deviata).
Nella fabbrica, ove si produce il Micardis (ad esempio), ogni scatola viene confezionata con 28 compresse di 40 mg l’una (sempre = costante).
Le macchine sono state programmate proprio con/per questo “motivo”.
Ora, se la scienza deviata “scopre” la formula (con costante 0,2840), che cosa comprende?
Nulla, relativamente all'assoluto funzionamento d’assieme.
Ma, tutto, a livello relativo… alla convenzione “qua, così”.
Qualcun3 “dimostrerà”, trovando la formula, che succede questo e quello e questo ancora.
Lo codificherà secondo la funzione, di parte, AntiSistemica… non rendendosi conto di quello che “fa”.
Così che lo status quo continui a funzionare “qua, così”.
Le “cose” avvengono prima che succedano (poiché "è già successo" e quest3 è la "radiazione di fondo dell'universo").
Di esse, ci sono già i “segni (frattali espansi)”, se (se)… “lato tuo/umanità, centrale”.
Altrimenti, succede ugualmente ma “non te ne accorgi”.
La radioattività (frattale espansa) 1) esiste dopo (memoria) che succede qualcosa e, allo stesso tempo 2) esiste – anche – prima, che succeda qualcosa (segni premonitori), dal momento di "è già successo ('Big Bang')".
Da “qua”, dopo esserti “Accort3”, inizia a ricordare... dal “Fai”.
Accertati che il tuo lavoro conduca a qualcosa...
Davide Nebuloni
SacroProfanoSacro (SPS) 2016
prospettivavita@gmail.com
Bollettino numero 1921
Ciao Davide, impressionante questo articolo-bollettino.
RispondiEliminaUna cosa che mi irrita è che oscillo molto tra "al centro" e non al centro. Tra pilota e auto pilota. Non mi riesce niente facile mantenere il filo. Specialmente col lavoro, figli e tutto il resto. Avrei voglia, voglio davvero mollare l'attività e avere più tempo e energia per me, ma...come fare con una pistola alla tempia?
Ci sto lavorando sù per davvero, però.
E' meravigliosa questa parte: "Sì, perché… dal tuo centro, centralmente, l’energia corre solo da dentro a fuori (senza necessità di "alimentazione"), rendendo il centro un “luogo comune di emissione (molto simile all'esplosione di luce solare)”.
Nulla entra, se non solo il preventivato/autorizzato, pena il bruciare non appena i due campi di forze, entrano in contatto ravvicinato (la massa – sostanza – rimane sempre tale, mentre è solo il peso – apparenza - a trasformarsi)."
In un altro passaggio scrivi che la dominante, tramite il dominio si prenderà sempre più cura dell'umanit3, ma se l'umanit3 non si "risveglierà", e ad ora tutto dice il contrario, rimarrà per sempre in trappola? Nutrirà all'infinito le macchine? Ci sarà un punto di saturazione tale da implodere-esplodere preimpostato?
Ieri, su internet, mentre facevo una ricerca dopo aver letto Sps, ho incontrato questo libro https://www.google.it/url?sa=t&rct=j&q=&esrc=s&source=web&cd=1&cad=rja&uact=8&ved=0ahUKEwibi_z9qNrPAhXJKMAKHentCbsQFggcMAA&url=http%3A%2F%2Fwww.macrolibrarsi.it%2Flibri%2F__l-arte-dell-invisibilita.php&usg=AFQjCNFCi57155w_5BpyeE-FetrRDWtfcw e mi ha colpito a fondo. Non ne avevo mai sentito parlare prima e ricorda e riporta davvero le orme di che ben sappiamo e che preferisce nascondersi. E poi in un negozio ho incontrato questa immagine e anche qui riporta, come tutto, la dominante, la creazione, la tecnologia che risostituisce l'umanit3: http://www.elvetika.net/portfolio_page/grafica-copertina/
Un'altra constatazione che riporta tanto alla dominante è il gran numero di "cose" scoperte "per caso". C'è da impallidire: dallo yogurt alla saccarina, dal cellophane al teflon, dalla mayonese alla ricetta della coca cola e via andare. Tutte cose che giovano alla salute...dello status quo.
Un abbraccio
Fabio :-)
Ps: Se mi posso permettere Davide, la parola "templio" (tempio, plurale templi) non esiste e stride un pochino :-)
Caro Fabio, sì... oggi ero molto ispirato. Alla fine ho voluto inserire tutto, ma... dopo ore e ore, ero stanco (e gli errori si spiegano per questo motivo. Scrivo in condizioni, a volte, limite). Sono, comunque, lieto e soddisfatto di avere messo "nero su bianco" queste riflessioni, che serviranno certamente più avanti.
EliminaE' complesso ritornare un "centro". Complesso per come si sono messe le cose "qua, così". Sembra che sia tutto un gioco. Non sembra vero che succede veramente tutto questo. Questo "cosa"? Tutto questo. No? Ci siamo capiti, credo.
Tieni duro ma non distruggere tutto. I passi vanno compiuti con "sale in zucca". Mi raccomando. Il fatto di "lavorarci", è già un primo risultato. Inizia ad esserne lieto, fiero, onorato, sempre più sul pezzo, etc. Le "cose" devono andare da sole. Per delegazione frattale espansa, giurisdizionale, by grande concentrazione di massa.
Il "Genio" deve esaudire i tuoi "desideri/ordini" :)
Grande segnalazione, la tua; il libro sull'arte dell'invisibilità è centrale. Grazie. Lunedì, suppongo, che affronterò questo argomento...
Ho visto l'immagine: molto sincronica. Certo. In questi ultimi Bollettini, ho inserito molti dettagli inerenti all'esperimento "Navona". Non sto scrivendo alla Com3, poichè ancora non mi sento pronto. Ma c'è molta carne al fuoco (bleah).
Infine, come ben sai "il caso non esiste". Tempo fa avevo frequentato, al Centro Ighina, qualcuno che aveva parlato di fantomatiche lettere anonime che, nel tempo, erano giunte a molti esperti... grazie alle quali, in seguito, avevano potuto realizzare le "loro" scoperte. "Il caso non esiste..." se non lasci nulla al caso.
Grazie anche per la segnalazione "temp(l)io". Ho sistemato la cosa (anche il titolo aveva un errore). Capita anche ai migliori. Figurati a me :)
Ti abbraccio e, mi raccomando, "stai sempre sul pezzo".
A presto. Serenità
N.B. In questo Bollettino c'è una infinità di "appunti ed intuizioni".
Ciao Davide, mi associo anche io a Fabio, dicendoti che è davvero bello questo bollettino, fluido e concreto !
RispondiEliminaCaro Marco, ti ringrazio. "Fluido e concreto": wow! Bel complimento (per me) :)
EliminaMolto lieto.
Un caro abbraccione. Serenità